Расчет мощности, расхода и давления гидропривода
Этот калькулятор позволяет Вам вычислить три параметра, важные для проектирования гидравлической станции:
- скорость потока Q (л/мин);
- мощность N (кВт);
- давление P (бар).
Чтобы вычислить потребную мощность N (кВт), Вы должны ввести следующие данные:
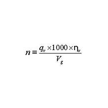
1. Подача насоса Q ( л/мин).
2. Коэффициент подачи насоса (КПД), для гидравлического привода обычно находится в диапазоне 0.85-0.95.
3. Давление P (бар).
Затем нажмите «N», чтобы вычислить.
Чтобы вычислить давление P (бар), которое может быть получено при комбинации заданного двигателя и насоса, Вы должны ввести следующие данные:
1. Подача насоса Q ( л/мин).
2. Коэффициент подачи насоса (КПД), для гидравлического привода обычно находится в диапазоне 0.85-0.95.
3. Мощность N (кВт), это может находиться в пределах от 0.25 до 55 кВт
Затем нажмите «Р», чтобы вычислить.
Чтобы вычислить подачу насоса Q (l/min), Вы должны ввести следующие данные:
1. Мощность N (кВт), это может находиться в пределах от 0.25 до 55 кВт
2. Коэффициент подачи насоса (КПД), для гидравлического привода обычно находится в диапазоне 0.85-0.95.
3. Давление P (бар).
Затем нажмите «Q», чтобы вычислить.
- скорость потока Q (л/мин);
- мощность N (кВт);
- давление P (бар).
Чтобы вычислить потребную мощность N (кВт), Вы должны ввести следующие данные:
1. Подача насоса Q ( л/мин).
2. Коэффициент подачи насоса (КПД), для гидравлического привода обычно находится в диапазоне 0.85-0.95.
3. Давление P (бар).
Затем нажмите «N», чтобы вычислить.
Чтобы вычислить давление P (бар), которое может быть получено при комбинации заданного двигателя и насоса, Вы должны ввести следующие данные:
1. Подача насоса Q ( л/мин).
2. Коэффициент подачи насоса (КПД), для гидравлического привода обычно находится в диапазоне 0.85-0.95.
3. Мощность N (кВт), это может находиться в пределах от 0.25 до 55 кВт
Затем нажмите «Р», чтобы вычислить.
Чтобы вычислить подачу насоса Q (l/min), Вы должны ввести следующие данные:
1. Мощность N (кВт), это может находиться в пределах от 0.25 до 55 кВт
2. Коэффициент подачи насоса (КПД), для гидравлического привода обычно находится в диапазоне 0.85-0.95.
3. Давление P (бар).
Затем нажмите «Q», чтобы вычислить.
Если вы хотите купить расчет мощности, расхода и давления гидропривода , вы можете:
Позвонить:

