Ввертный предохранительный клапан непрямого действия тип RP 350 бар, до 760 л/мин
350 бар, до 760 л/мин
Встраиваемый (ввертный) предохранительный клапан непрямого действия тип RP
Код для заказа:

| 1 ► | модель | RP | |
| 2 ► | типоразмер | 2C, 3C, 6C, 8C | |
| 3 ► | монтажное гнездо | T10A, T3A, T16A, T18A | |
| 4 ► | регулировка | L | стандартно винт |
| K | ручка с контргайкой | ||
| 5 ► | диапазон регулировки | A | 7 ~ 210 bar |
| B | 3.5 ~ 105 bar | ||
| C | 10 ~ 400 bar | ||
| E | 2 ~ 25 bar | ||
| 6 ► | материал уплотнения | N | buna-N |
| V | viton | ||
Технические характеристики:
| Модель | монтажное гнездо | Расход (л/мин) | Макс.давление (bar) | Момент затяжки (Nm) | Рабочая температура | Масса (kg) |
| RP2C | T10A | 95 | 350 | 40/50 | -35 ~ 100°C | 0.15 |
| RP3C | T3A | 200 | 350 | 60/70 | 0.25 | |
| RP6C | T16A | 380 | 350 | 200/215 | 0.55 | |
| RP8C | T18A | 760 | 350 | 465/500 | 1.17 |
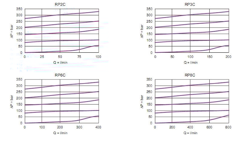
Рабочие характеристики:

Размеры:

| Модель | a | b | c | |
| L | K | |||
| RP2C | 39.7 | 22.2 | 51 | 58 |
| RP3C | 47.8 | 28.6 | 54 | 61 |
| RP6C | 61.9 | 31.8 | 62 | 69 |
| RP8C | 79.4 | 41.3 | 71 | 78 |
производитель
STEED
Если вы хотите купить ввертный предохранительный клапан непрямого действия тип RP , вы можете:
Позвонить:

